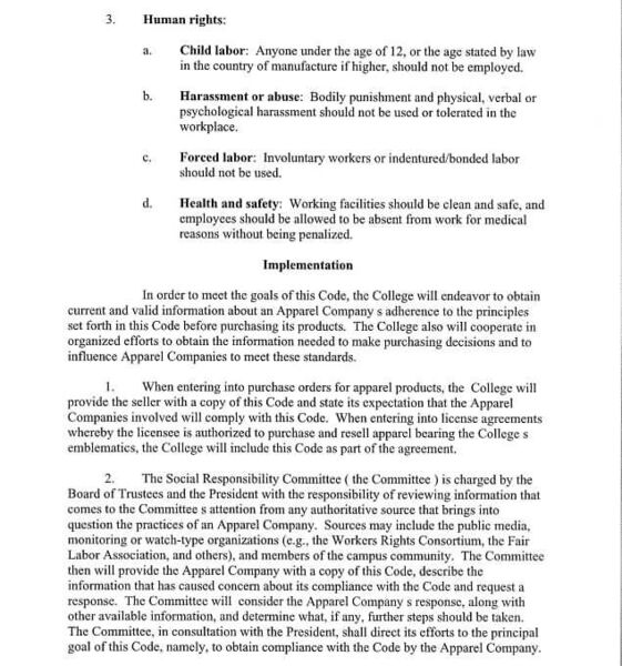
File:Mac-sweatshop3.jpg
Jump to navigation
Jump to search
Size of this preview: 561 × 600 pixels. Other resolution: 635 × 679 pixels.
Original file (635 × 679 pixels, file size: 65 KB, MIME type: image/jpeg)
File history
Click on a date/time to view the file as it appeared at that time.
| Date/Time | Thumbnail | Dimensions | User | Comment | |
|---|---|---|---|---|---|
| current | 17:54, 14 August 2008 | 635 × 679 (65 KB) | Tsmith (talk | contribs) |
You cannot overwrite this file.
File usage
The following page uses this file: